Definisi Vortex Flow Meter
Vortex Flow Meter adalah perangkat pengukuran aliran yang paling cocok untuk pengukuran aliran di mana pengenalan bagian yang bergerak menimbulkan masalah. Mereka tersedia di kelas industri, kuningan atau semua konstruksi plastik. Sensitivitas terhadap variasi kondisi proses rendah dan tanpa bagian yang bergerak memiliki keausan yang relatif rendah dibandingkan dengan jenis flow meter lainnya.
Vortex Flow Meter beroperasi di bawah prinsip pelepasan vortex, di mana pusaran berosilasi terjadi ketika cairan seperti air mengalir melewati badan tebing (sebagai lawan dari streamline). Frekuensi pusaran yang ditumpahkan tergantung pada ukuran dan bentuk tubuh. Ini sangat ideal untuk aplikasi di mana biaya perawatan yang rendah penting. Pengukur pusaran ukuran industri dibuat khusus dan memerlukan ukuran yang sesuai untuk aplikasi tertentu.
Teknologi pembacaan aliran vortex bergantung pada pengukuran jumlah pulse vortex yang dihasilkan oleh bluff body yang terbenam dalam aliran stream. Bluff body bekerja di dalam meter aliran vortex. Saat aliran melewati tubuh gertakan ini, vortisitas dihasilkan di kedua sisi tubuh gertakan. Laju aliran dapat ditentukan dengan mengukur jumlah vortisitas.
Sejarah Vortex Flow Meter
Theodore von Karman, seorang fisikawan Hungaria-Amerika, adalah orang pertama yang menggambarkan efek di mana objek non-arus (juga disebut bluff body) ditempatkan di jalur aliran yang mengalir cepat, menyebabkan cairan secara bergantian terpisah dari objek. pada dua sisi hilirnya, dan, saat lapisan batas menjadi terlepas dan menggulung kembali dengan sendirinya, membentuk pusaran (juga disebut pusaran air atau pusaran). Dia juga mencatat bahwa jarak antara pusaran itu konstan dan hanya bergantung pada ukuran batu yang membentuknya.
Di sisi badan tebing di mana pusaran terbentuk, kecepatan fluida lebih tinggi dan tekanan lebih rendah. Saat pusaran bergerak ke hilir, ia tumbuh dalam kekuatan dan ukuran, dan akhirnya terlepas atau terlepas. Ini diikuti oleh pembentukan pusaran di sisi lain dari badan tebing. Vortisitas bolak-balik ditempatkan pada jarak yang sama.
Desain Vortex Flow Meter
Vortex Flow Meter biasanya terbuat dari baja tahan karat 316 atau Hastelloy® dan mencakup badan tebing, rakitan sensor pusaran, dan elektronik pemancar, meskipun yang terakhir juga dapat dipasang dari jarak jauh. Mereka biasanya tersedia dalam ukuran flensa dari 1/2 inci hingga 12 inci. Biaya pemasangan meter pusaran bersaing dengan meter lubang dalam ukuran di bawah enam inci. Pengukur badan wafer (tanpa flensa) memiliki biaya terendah, sedangkan pengukur berflensa lebih disukai jika cairan prosesnya berbahaya atau berada pada suhu tinggi.

Bluff Body (persegi, persegi panjang, bentuk t, trapesium) dan dimensi telah dicoba untuk mencapai karakteristik yang diinginkan. Pengujian telah menunjukkan bahwa linearitas, batasan bilangan Reynolds yang rendah, dan sensitivitas terhadap distorsi profil kecepatan hanya sedikit berbeda dengan bentuk tubuh tebing. Dalam ukuran, badan tebing harus memiliki lebar yang merupakan fraksi yang cukup besar dari diameter pipa sehingga seluruh aliran ikut serta dalam pelepasan. Kedua, badan tebing harus memiliki tepi yang menonjol pada muka hulu untuk memperbaiki garis pemisah aliran, terlepas dari laju aliran. Ketiga, panjang badan tebing dalam arah aliran harus kelipatan tertentu dari lebar badan tebing.
Mayoritas vortex meter menggunakan sensor tipe piezoelektrik atau kapasitansi untuk mendeteksi osilasi tekanan di sekitar badan tebing. Detektor ini merespon osilasi tekanan dengan sinyal keluaran tegangan rendah yang memiliki frekuensi yang sama dengan osilasi. Sensor semacam itu bersifat modular, murah, mudah diganti, dan dapat beroperasi pada rentang suhu yang luas–dari cairan kriogenik hingga uap super panas. Sensor dapat ditempatkan di dalam badan meteran atau di luar. Sensor yang dibasahi ditekankan secara langsung oleh fluktuasi tekanan pusaran dan ditutup dalam wadah yang dikeraskan untuk menahan efek korosi dan erosi.
Sensor eksternal, biasanya pengukur regangan piezoelektrik, merasakan pelepasan pusaran secara tidak langsung melalui gaya yang diberikan pada bilah shedder. Sensor eksternal lebih disukai pada aplikasi yang sangat erosif/korosif untuk mengurangi biaya perawatan, sementara sensor internal memberikan jangkauan yang lebih baik (sensitivitas aliran rendah yang lebih baik). Mereka juga kurang sensitif terhadap getaran pipa. Rumah elektronik biasanya dinilai tahan ledakan dan cuaca, dan berisi modul pemancar elektronik, koneksi terminasi, dan secara opsional indikator laju aliran dan/atau penghitung.
Gaya Vortex Flow Meter
Vortex Flow Meter merupakan pengukur pusaran cerdas memberikan sinyal keluaran digital yang berisi lebih banyak informasi daripada sekadar laju aliran. Mikroprosesor dalam flowmeter dapat secara otomatis mengoreksi kondisi pipa lurus yang tidak mencukupi, untuk perbedaan antara diameter lubang dan pipa kawin, untuk ekspansi termal badan tebing, dan untuk perubahan faktor-K ketika bilangan Reynolds turun di bawah 10.000.
Pemancar cerdas juga dilengkapi dengan subrutin diagnostik untuk memberi sinyal pada komponen atau kegagalan lainnya. Pemancar pintar dapat memulai pengujian rutin untuk mengidentifikasi masalah dengan meteran dan aplikasi. Tes berdasarkan permintaan ini juga dapat membantu dalam verifikasi ISO 9000.
Beberapa flowmeter vortex dapat mendeteksi aliran massa. Salah satu desain tersebut mengukur frekuensi vortex dan kekuatan pulsa vortex secara bersamaan. Dari pembacaan ini, densitas fluida proses dapat ditentukan dan aliran massa dihitung dalam rentang 2%.
Desain lain dilengkapi dengan beberapa sensor untuk mendeteksi tidak hanya frekuensi pusaran, tetapi juga suhu dan tekanan fluida proses. Berdasarkan data itu, itu menentukan kepadatan dan laju aliran massa. Meteran ini menawarkan akurasi laju 1,25% saat mengukur aliran massa cairan dan akurasi laju 2% untuk gas dan uap. Jika pengetahuan tentang tekanan dan suhu proses bermanfaat untuk alasan lain, meteran ini memberikan alternatif yang nyaman dan lebih murah untuk memasang pemancar terpisah.
Vortex Flow Meter Untuk Liquid Corrosive

Tanpa bagian yang bergerak, semua elektronik ditempatkan dalam wadah tahan korosi. Tidak seperti meter yang mengandung logam atau bagian yang bergerak, meter pusaran plastik sangat cocok untuk cairan agresif atau mudah terkontaminasi. Aplikasi berkisar dari air ultra-murni hingga bahan kimia dan bubur yang sangat korosif.
Industrial Vortex Flow Meters
Mengukur Uap, Gas, dan Cairan dengan Viskositas Rendah. Vortex yang dihasilkan oleh fluida yang mengalir memberi tekanan pada batang shedder dalam bentuk pulsa, dan batang shedder mentransmisikan pulsa tegangan ke sensor piezoelektrik yang dienkapsulasi.
Vortex Shedding Flow Meter

Beroperasi di bawah prinsip pengukuran pelepasan pusaran yang sama, pengukur aliran pusaran jenis ini cocok untuk cairan seperti air yang kental, bersih, atau kotor yang kompatibel dengan kuningan, PVDF, dan FKM. Aplikasi ini ditemukan di sebagian besar industri proses, termasuk karet, baja, fabrikasi, manufaktur, pemurnian, kertas, kimia, makanan, petrokimia, dan listrik. Tidak cocok untuk cairan yang mudah terbakar atau gas seperti udara.
Prinsip Kerja Vortex Flow Meter
Prinsip Kerja Vortex Flow Meter dan Cara Kerja Vortex Flow Meter sesuai dengan prinsip Karman Vortices. Ketika sebuah bluff body ditempatkan secara vertikal di dalam pipa, ketika fluida mengalir di sekitar bluff body, kolom vortisitas reguler akan dihasilkan secara bergantian di setiap sisi bluff body (ditunjukkan pada Gambar.1), pusaran ini dikenal sebagai “Karman Vortices”. Prinsip Kerja Vortex Flow Meter dan Cara Kerja Vortex Flow Meter memiliki bagian resistensi yang melepaskan vortisitas dinamai “bluff body”. Frekuensi pelepasan vortisitas terkait dengan kecepatan cairan. Dinyatakan dengan rumus sebagai berikut:

Karena itu Cara Kerja Vortex Flow Meter : frekuensi —- dari penumpahan Karman Vortices
- Sr —- nomor Strouhal
- U —- kecepatan rata-rata dalam pipa
- d —- lebar wajah masuknya tebing tubuh
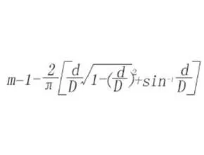
- m —- rasio jumlah aliran-daerah di kedua sisi dan mengukur luas bagian pipa
- U1 —- kecepatan rata-rata di dua sisi bluff body

Karena itu Cara Kerja Vortex Flow Meter : D —- diameter dalam pipa
d —- lebar bluff body inflow face (unit: mm)

Nomor strouhal terkait dengan bentuk bluff body dan nomor Reynolds (ditunjukkan pada grafik 2). Dari grafik, Sr pada dasarnya konstan ketika kisaran angka Reynolds adalah ~.

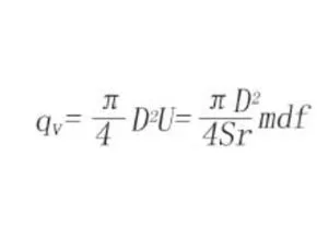
Qformula aliran volumetrik sesaat seperti di bawah ini:

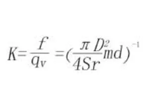
Rumus faktor meter K seperti di bawah ini:

Karena itu : q —- volumetrik mengalir melalui transduser aliran (unit: m3 / s)
f —- frekuensi vortisitas (unit: Hz)
k —- meteran faktor aliran transduser vortex (unit: m)
U —- kecepatan rata-rata dalam pipa (unit: m / s)
Bagan 2 menunjukkan bahwa laju aliran volumetrik dari flow meter vortex sebanding dengan frekuensi vortisitas. Meter faktor K hanya terkait dengan parameter geometri bluff body, tidak terkait dengan karakter fisik fluida dan bahan-bahan.
Rumus umum flowmeter vortex dalam proyek seperti di bawah ini:

Karena itu: f —- melepaskan frekuensi Karman Vortices (unit: Hz)
q —- flowrate volumetrik (unit: m3 / jam)
Pengenalan nomor Strouhal Sr:
Nomor strouhal adalah faktor yang sangat penting dalam Vortex Flow Transducer. Dalam kisaran tertentu dari bilangan Reynolds, bilangan Strouhal mendekati konstanta. Dalam kisaran wilayah lurus Sr?0.17 dalam kurva (ditunjukkan pada grafik 2), frekuensi pelepasan vortisitas sebanding dengan kecepatan, sehingga selama frekuensi (f) terdeteksi, kecepatan (v) akan diperoleh, dan volumetrik flowrate akan didapat sesuai dengan v.
Ketika fluida mengalir dalam pipa dan bilangan Reynolds adalah antara ~, bilangan Strouhal dianggap sebagai konstanta, yang dapat menjamin keakuratan rentang pengukuran. Jika di luar kisaran angka Reynolds di atas, Sr akan meningkat ketika angka Reynolds berkurang atau meningkat, nonlinier akan terjadi. Ketika nomor Reynolds berkurang dari menjadi, meskipun vortisitas ditumpahkan, akurasi pengukuran akan berkurang, karena nonlinier. Jadi bilangan Reynolds ~ akan disebut sebagai rentang pengukuran transduser aliran Vortex. itu lah Cara Kerja Vortex Flow Meter dan Prinsip Kerja Vortex Flow Meter
Aplikasi & Batasan Vortex Flow Meter
Untuk Aplikasi Vortex Flow Meter biasanya tidak direkomendasikan untuk batching atau aplikasi aliran intermiten lainnya. Ini karena pengaturan laju aliran dribble dari stasiun batching dapat jatuh di bawah batas bilangan Reynolds minimum meter. Semakin kecil total batch, semakin besar kemungkinan kesalahan yang dihasilkan.
Gas bertekanan rendah (kepadatan rendah) tidak menghasilkan pulsa tekanan yang cukup kuat, terutama jika kecepatan fluida rendah. Oleh karena itu, kemungkinan besar dalam layanan seperti itu jangkauan meteran akan buruk dan arus rendah tidak akan dapat diukur. Di sisi lain, jika penurunan jangkauan dapat diterima dan meter diukur dengan benar untuk aliran normal, flowmeter pusaran masih dapat dipertimbangkan.
Jika cairan proses cenderung untuk melapisi atau menumpuk di badan tebing, seperti pada aplikasi vortex flow meter pada lumpur dan bubur, ini pada akhirnya akan mengubah faktor K meteran. Pengukur aliran pelepasan pusaran tidak direkomendasikan untuk aplikasi semacam itu. Namun, jika cairan kotor hanya memiliki jumlah sedang padatan non-pelapis, aplikasi kemungkinan dapat diterima. Hal ini ditunjukkan oleh uji 2 tahun pada bubur batu kapur. Pada akhir pengujian, faktor K ditemukan hanya berubah 0,3% dari kalibrasi asli pabrik, meskipun badan tebing dan tabung alirannya rusak parah dan berlubang.
Saat mengukur aliran multi-fase atau aplikasi vortex flow meter (partikel padat dalam gas atau cairan; gelembung gas dalam cairan; tetesan cairan dalam gas), akurasi meter vortex akan turun karena ketidakmampuan meter untuk membedakan antara fase. aplikasi vortex flow meter pada uap basah berkualitas rendah adalah salah satu aplikasi tersebut: fase cair harus tersebar secara homogen di dalam uap, dan garis aliran vertikal harus dihindari untuk mencegah slugging. Ketika pipa berada dalam posisi horizontal, fase cair cenderung mengalir di bagian bawah pipa, dan oleh karena itu bagian dalam pipa harus tetap terbuka di bagian bawah. Ini dapat dicapai dengan memasang badan tebing secara horizontal. Ketidakakuratan pengukuran dalam aplikasi tersebut adalah sekitar 5% dari aliran aktual, tetapi dengan pengulangan yang baik.
Kehilangan tekanan permanen melalui meter pusaran adalah sekitar setengah dari pelat orifice, kira-kira dua kepala kecepatan. (Ketinggian kecepatan didefinisikan sebagai V2/g, di mana V adalah kecepatan aliran dan g adalah konstanta gravitasi dalam satuan yang konsisten.) Jika pipa dan meteran berukuran tepat dan berukuran sama, penurunan tekanan mungkin hanya beberapa psi. Namun, perampingan (memasang meteran yang lebih kecil dari ukuran garis) untuk meningkatkan Reynolds dapat meningkatkan kerugian head hingga lebih dari 10 psi. Kita juga harus memastikan bahwa tekanan vena contracta tidak turun di bawah tekanan uap cairan proses, karena itu akan menyebabkan kavitasi. Secara alami, jika tekanan balik pada meteran berada di bawah tekanan uap, cairan proses akan berkedip dan pembacaan meter tidak akan berarti.
Baca Juga : Gas Vortex Flow Meter
Keuntungan utama dari vortex meter adalah sensitivitasnya yang rendah terhadap variasi kondisi proses dan keausan yang rendah relatif terhadap orifice atau turbin meter. Juga, biaya awal dan pemeliharaan rendah. Untuk alasan ini, mereka telah mendapatkan penerimaan yang lebih luas di antara pengguna.
Rekomendasi Instalasi
Saat memasang flowmeter vortex dalam proses yang ada di mana rentang aliran tidak diketahui, disarankan untuk terlebih dahulu melakukan beberapa pengukuran perkiraan (menggunakan perangkat ultrasonik pitot atau penjepit portabel). Jika tidak, tidak ada jaminan bahwa pengukur pusaran ukuran garis akan berfungsi sama sekali.
Vortex meter membutuhkan profil kecepatan aliran yang dikembangkan dengan baik dan simetris, bebas dari distorsi atau pusaran apa pun. Hal ini memerlukan penggunaan pipa lurus ke atas dan ke bawah untuk mengkondisikan aliran. Panjang pipa lurus harus sama dengan ukuran meter dan panjangnya harus hampir sama dengan yang dibutuhkan untuk pemasangan lubang dengan rasio beta 0,7. Sebagian besar produsen flowmeter vortex merekomendasikan minimal 30 diameter pipa hilir katup kontrol, dan 3 hingga 4 diameter pipa antara meteran dan keran tekanan hilir. Elemen suhu harus kecil dan terletak 5 sampai 6 diameter hilir.
Sekitar setengah dari semua instalasi vortex meter memerlukan “pengecilan” pipa proses berukuran besar oleh reduksi dan ekspander konsentris. Bahkan jika pelurus aliran dipasang, beberapa pipa lurus (relaksasi) akan tetap diperlukan.
Vortex meter dapat dipasang secara vertikal, horizontal, atau pada sudut mana pun, asalkan tetap tergenang air. Meteran dapat tetap tergenang air dengan memasangnya pada garis aliran vertikal ke atas. Saat memasang flowmeter dalam aliran ke bawah atau horizontal, pipa hilir harus dijaga tetap tinggi. Katup periksa dapat digunakan untuk menjaga pipa tetap penuh cairan saat tidak ada aliran. Katup blok dan katup bypass diperlukan jika penggantian sensor dalam desain tertentu memerlukan penghentian aliran dan pembukaan proses.
Mating flange (pada perpipaan schedule 40 atau schedule 80 mating) harus memiliki diameter dan lubang yang sama dengan flowmeter. Flensa leher las lebih disukai, dan flensa pereduksi tidak boleh digunakan. Permukaan bagian dalam pipa kawin harus bebas dari skala penggilingan, lubang, lubang, skor reaming dan gundukan untuk jarak 4 diameter hulu dan 2 diameter hilir meter. Lubang meteran, gasket, dan pipa yang berdekatan harus disejajarkan dengan hati-hati untuk menghilangkan hambatan atau langkah apa pun.
Getaran pipa yang berlebihan dapat dihilangkan dengan menopang pipa di kedua sisi meteran, atau dengan memutar meteran sehingga sensor dipindahkan keluar dari bidang getaran. Kebisingan proses karena katup berceloteh, steam traps, atau pompa dapat mengakibatkan pembacaan yang tinggi atau pembacaan yang tidak nol dalam kondisi aliran nol. Kebanyakan elektronik meter memungkinkan untuk meningkatkan pengaturan filter kebisingan, tetapi pengurangan kebisingan yang meningkat biasanya juga menurunkan sensitivitas aliran rendah meteran. Salah satu pilihan adalah memindahkan meteran ke bagian proses yang tidak terlalu bising.
Baca Juga
- Flow Meter Air Limbah Flowma WMAG30
- Flow meter ultrasonic untuk aliran gravitasi
- Cara mengukur debit air dengan flow meter clamp-on
- Flow Meter Palm Oil Stearin dengan jenis Coriolis mass flow
- Clamp on Flow Meter untuk PLTU
- Jenis Flow Meter Untuk Pengukuran Air Limbah
- Jenis Flow Meter Air Laut
- Flowmeter Air untuk Ukuran Pipa besar
- Flow Meter Pompa Hydrant Gerand untuk Sistem Pemadam Kebakaran
- Mass Flow Meter Coriolis untuk Minyak Goreng
- Flow Meter Coriolis mass flow untuk Crude Palm Oil
- Flow Meter Untuk Mengukur Debit pada Open Channel
- Harga Flow Meter Ultrasonic
- Flow meter air dingin chiller
- Kelebihan dan Cara Instalasi Magnetic Flow Meter
- Flow meter Clamp On Ultrasonic
- Langkah dan Cara Instalasi Flow Meter Ultrasonic




